Az utasok zajt hallottak, a busz továbbment, majd repültek a kerekek címmel jelent meg cikkünk annak a hússzemélyes Iveco kisbusznak az ügyéről, amely július végén mindkét bal hátsó kerekét elvesztette az M7-es autópályán. Az egyik kerék telibe talált egy arra haladó autót, így csoda, hogy nem történt tragédia, ahogy két évvel korábban, egy másik balesetben. Ritka az ilyesmi, esetleg többször megtörténik, mint gondoljuk? Dr. Lovas László, a Budapesti Műszaki és Gazdaságtudományi Egyetem Járműelemek és Jármű-szerkezetanalízis tanszékvezető docense részletesen foglalkozik a kérdéssel és kutatótársai eredményeként mostanra sejti, hogy mi okozza ezeket a különös baleseteket. Az alábbiakban az ő vendégcikkét olvashatják.
Műszaki szakértők szerint Magyarországon, havonta egy-két olyan eset történik, mint amelyről a cikk, illetve az olvasói videó szól. Járműkerekek a világban mindenütt gurulnak el, erre egy egyszerű Google-keresés számos példát, fotót ad, és az esetek háttere is hasonló. Szinte az összes ügyben jól meghúzott kerékcsavarok és anyák lazulnak fel menet közben, és az autók, teherautók vezetői számára teljesen kiszámíthatatlanul, véletlenszerűen történik meg a kerékvesztéses baleset.
Háttérismeretek
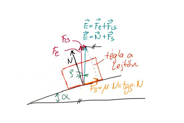
A jelenség megértéséhez érdemes feleleveníteni néhány alapfogalmat a csavarkötés kapcsán. A csavar működési elve megegyezik a lejtő működési elvével. A lejtő szöge (α) és a lejtőre tett tégla, valamint a lejtő felülete közötti súrlódás (µ) közötti kapcsolat meghatározza, hogy a tégla fennmarad-e a lejtőn, vagy lecsúszik rajta.

A fenti ábrán a tégla lejtőn feltolásának erőrendszere látható. Az N erő tartja a tégla súlyát a lejtő felületére merőlegesen. Az Fs súrlódó erő a mozgás ellen hat. Az E erő a két erő vektori összege. A tégla feltolásához legalább Fcs erőt ki kell fejteni, ami az E erő lejtő alapsíkjával párhuzamos komponense.

Csavarkötésnél a lejtő szögét a csavar menetemelkedése (P) és a középátmérője adja. Ez geometriailag jól meghatározható, pontosan szabályozható érték. A súrlódás ellenben nagyon nehezen becsülhető. Csavarkötés esetén két helyen számolunk súrlódással. Az egyik a menetfelület, a másik a csavarfej alján lévő felfekvő felület. A csavar meghúzási nyomatékának jelentős része a két súrlódás legyőzéséhez szükséges: az anya meghúzása olyan, mint amikor feltoljuk a téglát a lejtőn.
A meghúzás hatására a csavarban Fe előfeszítőerő ébred, ami a csavart tengelye mentén húzza. Az összefogott anyagokban ugyanekkora nyomóerő ébred, amely a tégla és a lejtő felületét összenyomva biztosítja a tégla helyben maradását. Ha tovább vizsgáljuk a csavart, azt is tapasztaljuk, hogy az rugalmas. A meghúzás nemcsak hosszirányú húzást visz a csavar szárába, hanem csavarást is. Ennek a csavarásnak szintén a csavar feje alatti súrlódás, valamint a menetek súrlódása tart ellent.
Épület esetén a tégla ott marad a lejtőn (boltív, például), jó esetben az idők végezetéig. Jármű esetén azonban nem ez a helyzet. A felületek felszínére hatással lehet:
- az összefogott alkatrészek együttes mozgása,
- az összefogott alkatrészek egymáshoz képesti mozgása,
- összefogott alkatrészek együttes terhelése,
- az összefogott alkatrészek alkatrészenkénti terhelése,
- kenőanyag jelenléte vagy nem léte,
- a korrózió.
A fentiek együttes hatása alapján az összenyomott anyagfelületek mikrométer nagyságban elmozdulnak egymáson. Érdességük csökken, a felületek simulnak, fényesednek. Ez igaz a sokszor használt csavar feje aljára csakúgy, mint a menet oldalára. Ennek okán ha a kerékcsavart sokszor csavarom ki és húzom meg, ugyanakkora meghúzási nyomaték esetén a csavarban ébredő előfeszítő erő egyre nő. Ugyanakkor a lecsavarodásnak ellentartó súrlódó erő egyre csökken.
A kerékcsavarok lecsavarodásának jelenségét ismereteim szerint Gerhard Junker vizsgálta először tudományosan. Feltételezése szerint, ha a meghúzott csavarkötést a csavar tengelyére merőleges, időben változó terhelés éri, akkor a csavarkötés ki fog lazulni. Ez ellen nincs orvosság, csak idő kérdése.
Ez a rövid videó elmagyarázza:
Meg kell még említeni azt a régi tapasztalatot, hogy ha forgó alkatrészt csavarkötéssel rögzítünk, a meghúzás irányának az alkatrész forgásirányával egybe kell esnie. Ennek okán viszonylag sokáig léteztek balmenetes kerékcsavarok az autókon.
Mi köze a fentieknek egy kieső ikerkerék csavarjaihoz?
A 3-4-5-6-8-10 kerékcsavart a szerelő egyforma nyomatékkal húzza meg, míg a kerék a levegőben van, az autó pedig az emelőn. Ezzel egyforma előfeszítő erő ébred bennük. Ezután a járművet leeresztik a talajra. Ettől a pillanattól kezdve más és más Ft terhelő erő hat az egyes kerékcsavarokra: Fcsavar=Fe+Ft
Ha lassan tolni kezdjük a járművet, a csavarokra periodikusan változó erő fog hatni, ahogy a kerék körbefordul. Ez az erő a csavar tengelyével párhuzamosan hat. Szóló kerék esetén tehát a felni és a kerékagy nyomkodják egymást ritmikusan a csavarok szűk környezetében. Ikerkerekek esetén a kerekek elsősorban egymást nyomkodják, és az eredő hatásnak tart ellen a kerékcsavar előfeszítő ereje.

A felső csavaroknál a felniket a jármű súlya 2Fcs erővel összenyomja. Így a felső helyzetben levő kerékcsavar tehermentesedik, előfeszítése csökken: Fcsavar=Fe-2Fcs.
Az alsó helyzetben levő csavarokat a jármű súlya 2Fcs erővel még jobban megfeszíti: Fcsavar=Fe+2Fcs.
A kerék meghúzási nyomatékával tehát nem lehetünk elég okosak. Ha túl alacsony a nyomaték, az Fe előfeszítő erő kevés, a felső csavarhelyzetben minden egyes csavar kicsit lazulásesélyes. Ha túl nagy a meghúzási nyomaték, az alsó csavar helyzetben a csavar túlterhelődik, kifárad, elszakad.
Amíg a jármű egyenletes sebességgel halad (nem gyorsít, nem lassít), a felniket rögzítő súrlódást létrehozó összeszorító erő önmagában pulzál. Mivel a csavarszár csavarásra előfeszített rugó, itt elképzelhető, hogy az összefogott felületek a rájuk ható lecsökkent nyomóerő hatására mikrométereket elmozdulnak egymáson. Ez az elmozdulás a felületek polírozódását okozza, ami csökkenti az előfeszítő erőt, és a folyamat pozitív visszacsatolású, egyre erősödik.
Amikor a jármű gyorsít vagy lassít, a felnit és az agyat, illetve az ikerkekeket egymáshoz képest el akarja fordítani tengelyük körül a nyomaték. Ez a klasszikus Junker-féle lazítóhatást adja hozzá az előző folyamathoz. Ikerkerekek esetén ehhez elég egy-egy ívmenet, kanyarodás.
Egyszerűen belátható, hogy a jármű egyenletes sebességű haladása, valamint kerék szinten érzékelt gyorsítása és lassítása egymástól időben teljesen független jelenségek.
Úgy sejtem, hogy a váratlan keréklelazulás esemény és annak előre nem becsülhetősége e kettő jelenség együttes hatásának eredménye.
Arra a jelenségre, hogy időnként miért csavarodnak ki és gurulnak el pillanatok alatt a már lelazult kerékcsavarok, ismereteim szerint egyelőre nincs magyarázat.
Mit érez a lazulásból a jármű vezetője?
A kerék lazulása, lazasága nagyon nehezen érzékelhető a vezetőülésből. Egy haszonjárműgyártó végzett olyan kísérletet, hogy az ikerkerék csavarjait nagyon meglazították. A haszonjármű különböző manővereket végzett egy próbapályán és vizsgálták, a kerék lazaságából mit érzékel a vezető. A tapasztalat az volt, hogy gyakorlatilag semmit. A vezetőülés távolsága és a motor-hajtáslánc zaja miatt a vezető nem tudja érzékelni a problémát. A kerék felől esetleg valami csattogás hallatszik a külső észlelő számára, amelynek eredete nem egyértelmű.
Mit lehet tenni a kerék elvesztésének megakadályozására?
- csavar helyzetjelző nyilak felszerelése a bal hátsó ikerkerékre. Minden telephelyre beálláskor ellenőrizni a nyilak állását.
- minden telephelyről kiálláskor szemrevételezni a nyilakat, vagy nyomatékkulccsal ellenőrizni a kerékcsavarok meghúzottságát.
- kerülni a jármű túlterhelését.
- rendszeresen közel teljes terheléssel közlekedő jármű esetén a teher felrakása előtt és lerakása után egyaránt szemrevételezni a nyilakat, vagy ellenőrizni a kerékcsavarok meghúzottságát.
- teljes terheléssel megrakott jármű esetén, ha teljes terheléssel megrakott utánfutót/pótkocsit húz, minden megállásnál szemrevételezni a helyzetjelző nyilak állását.
- ikerkekereken egyszerre kell gumit cserélni, azonos típusú gumiabroncsot kell használni és figyelni az azonos guminyomásra.
- a kerékcsavarok meghúzását mindig a gyártó által előírt módon kell elvégezni (nyomaték, kent vagy száraz állapot).
Példaként az új-zélandi közlekedésbiztonsági hivatal témába vágó felhívása itt található. A fentiek természetesen többletterhet rónak a sofőrre, a telephely portaszolgálatára egyaránt. Ennek költsége azonban még mindig kevesebb, mint egy kerékelvesztéses baleset okozta kártérítésé.
A videón látható esemény lehetséges magyarázata
A videón szereplő eseményt véleményem szerint az alábbiak okozhatták együttesen:
- A haszonjármű magas futásteljesítménye miatt sokszor voltak a kerekek le-fel szerelve. Ettől fényesre kopott a kerékcsavar menet és fej alatti rész, lecsökkent a súrlódási tényező (lecsökken az önzárás képessége),
- A haszonjármű megengedett legnagyobbhoz közeli terhelése (teljes utaslétszám), a kerék forgásából adódó lazító hatás,
- A vontatott megrakott utánfutó okozta finom rángatás lazító hatása (Junker hatás).
Az ügyben a végső szót természetesen igazságügyi szakértő tudná kimondani.
Összegezve
A fentiekkel arra szeretnék rámutatni, mennyi érdekes gondolkodni való van egy olyan, szemre egyszerű működésű gépelem esetén, mint a kerékcsavar. A hengerfej-csavarokat, illetve a differenciálmű-csavarokat nem is említem. A tanszéken, ahol dolgozom, most indul kutatás a jelenség jobb megértésének érdekében. Remélem, néhány év múlva nemcsak sejtésekről fogok tudni beszélni.
További cikkeink








